Нормальный закон распределения непрерывной случайной величины

Как было сказано ранее, примерами распределений вероятностей непрерывной случайной величины Х являются:

Дадим понятие нормального закона распределения, функции распределения такого закона, порядка вычисления вероятности попадания случайной величины Х в определенный интервал.

Показатель Нормальный закон распределения Примечание
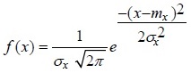
1 Определение Нормальным называется распределение вероятностей непрерывной случайной величины X, плотность которого имеет вид
формула где mx – математическое ожидание случайной величины Х, σx – среднее квадратическое отклонение
2 Функция распределения формула формула
3 Вероятность попадания в интервал (а;b) формула формула
- интегральная функция Лапласа
4 Вероятность того, что абсолютная величина отклонения меньше положительного числа δ формула при mx= 0
формула

Пример решения задачи по теме «Нормальный закон распределения непрерывной случайной величины»

Задача.

Длина X некоторой детали представляет собой случайную величину, распределенную по нормальному закону распределения, и имеет среднее значение 20 мм и среднее квадратическое отклонение – 0,2 мм.
Необходимо:
а) записать выражение плотности распределения;
б) найти вероятность того, что длина детали будет заключена между 19,7 и 20,3 мм;
в) найти вероятность того, что величина отклонения не превышает 0,1 мм;
г) определить, какой процент составляют детали, отклонение которых от среднего значения не превышает 0,1 мм;
д) найти, каким должно быть задано отклонение, чтобы процент деталей, отклонение которых от среднего не превышает заданного, повысился до 54%;
е) найти интервал, симметричный относительно среднего значения, в котором будет находиться X с вероятностью 0,95.

Решение. а) Плотность вероятности случайной величины X, распределенной по нормальному закону находим по формуле 1:

формула

при условии, что mx=20, σ =0,2.

б) Для нормального распределения случайной величины вероятность попасть в интервал (19,7; 20,3) определяется по формуле 3:
Ф((20,3-20)/0,2) – Ф((19,7-20)/0,2) = Ф(0,3/0,2) – Ф(-0,3/0,2) = 2Ф(0,3/0,2) = 2Ф(1,5) = 2*0,4332 = 0,8664.
стрелка Значение Ф(1,5) = 0,4332 мы нашли в приложениях, в таблице значений интегральной функции Лапласа Φ(x) (таблица 2)

в) Вероятность того, что абсолютная величина отклонения меньше положительного числа 0,1 найдем по формуле 4:
Р(|Х-20| < 0,1) = 2Ф(0,1/0,2) = 2Ф(0,5) = 2*0,1915 = 0,383.
стрелка Значение Ф(0,5) = 0,1915 мы нашли в приложениях, в таблице значений интегральной функции Лапласа Φ(x) (таблица 2)

г) Поскольку вероятность отклонения, меньшего 0,1 мм, равна 0,383, то отсюда следует, что в среднем 38,3 детали из 100 окажутся с таким отклонением, т.е. 38,3%.

д) Поскольку процент деталей, отклонение которых от среднего не превышает заданного, повысился до 54%, то Р(|Х-20| < δ) = 0,54. Отсюда следует, что 2Ф(δ/σ) = 0,54, а значит Ф(δ/σ) = 0,27.

стрелка Используя приложение (таблица 2), находим δ/σ = 0,74. Отсюда δ = 0,74*σ = 0,74*0,2 = 0,148 мм.

е) Поскольку искомый интервал симметричен относительно среднего значения mx = 20, то его можно определить как множество значений X, удовлетворяющих неравенству 20 − δ < X < 20 + δ или |x − 20| < δ .

По условию вероятность нахождения X в искомом интервале равна 0,95, значит P(|x − 20| < δ)= 0,95. С другой стороны P(|x − 20| < δ) = 2Ф(δ/σ), следовательно 2Ф(δ/σ) = 0,95, а значит Ф(δ/σ) = 0,475.

стрелка Используя приложение (таблица 2), находим δ/σ = 1,96. Отсюда δ = 1,96*σ = 1,96*0,2 = 0,392.
Искомый интервал: (20 – 0,392; 20 + 0,392) или (19,608; 20,392).

Другие статьи по данной теме:

Список использованных источников

  1. Гмурман В.Е. Руководство к решению задач по теории вероятностей и математической статистике / М. - "Высшая школа", 2004;
  2. Лисьев В.П. Теория вероятностей и математическая статистика: Учебное пособие/ Московский государственный университет экономики, статистики и информатики. – М., 2006;
  3. Семёнычев В. К. Теория вероятности и математическая статистика: Лекции /Самара, 2007;
  4. Теория вероятностей: контрольные работы и метод. указания для студентов / сост. Л.В. Рудная и др. / УрГЭУ - Екатеринбург, 2008.




Делопроизводство
Этика и психология делового общения
Методы исследования




2012 © Лана Забродская. При копировании материалов сайта ссылка на источник обязательна